240 Double and Triple Tonguing Exercises
Alfred Music
による
元の価格
$430TWD
-
元の価格
$430TWD
元の価格
$430TWD
$430TWD
-
$430TWD
現在の価格
$430TWD
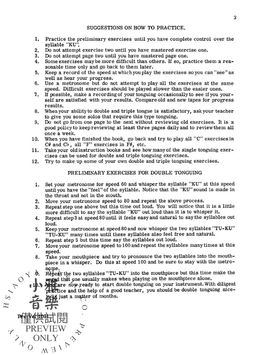
本書はダブル・トリプル・トンギングの入門書です。本書はダブル、トリプル・タンギングを始めたばかりの生徒のために作られたもので、少なくとも2年分の教材が含まれている。上達のスピードは、生徒のバックグラウンド、年齢、能力レベルによって異なるため、もっと時間がかかる生徒もいるだろう。本書の演奏範囲は、若い金管楽器奏者の能力レベル内に十分に収まっている。本書は主にコルネット、トランペット、バリトン奏者のために作られていますが、トロンボーンやフレンチホルン奏者にも使えます。また、高音部からの移調が可能なチューバ奏者にもお使いいただけます。
"
作曲家: Victor V Salvo
楽器: Trumpet
出版社: Alfred Music
"
作曲家: Victor V Salvo
楽器: Trumpet
出版社: Alfred Music